
Analyzing Clinical Significance: The Percentage-Change Approach
2025-11-27
Source:vignettes/percentage-change-approach.Rmd
percentage-change-approach.RmdIntroduction
The percentage-change approach defines clinical significance based on the relative change in a patient’s score from baseline. This method is common in clinical trials where a specific reduction in symptoms, such as “a 50% improvement,” is a primary endpoint for defining treatment response.
A change is considered clinically significant if it meets or exceeds a predefined Percentage-Change Cutoff (PCC). For example, if the PCC is 50% (or 0.5), any patient who shows at least a 50% reduction in symptoms would be classified as “Improved”.
A key consideration for this method is that it is highly dependent on the patient’s baseline score. A 10-point drop is a 50% improvement for a patient starting at 20 points, but only a 25% improvement for a patient starting at 40 points. This characteristic should be kept in mind when interpreting the results.
This vignette demonstrates how to use the
cs_percentage() function to apply this approach.
Basic Analysis
Let’s analyze the claus_2020 dataset. A common benchmark
for depression treatment trials is a 50% reduction in symptom scores. We
will set this as our pct_improvement cutoff.
# Analyze change using a 50% improvement cutoff
pct_results <- claus_2020 |>
cs_percentage(
id = id,
time = time,
outcome = bdi,
pre = 1,
post = 4,
pct_improvement = 0.5
)
summary(pct_results)
#>
#> ---- Clinical Significance Results ----
#>
#> Approach: Percentage-based
#> Percentage Improvement: 50.00%
#> Percentage Deterioration: 50.00%
#> Better is: Lower
#> N (original): 43
#> N (used): 40
#> Percent used: 93.02%
#> Outcome: bdi
#>
#> Category | N | Percent
#> ---------------------------
#> Improved | 11 | 27.50%
#> Unchanged | 29 | 72.50%
#> Deteriorated | 0 | 0.00%The summary shows that based on this 50% criterion, about 28% of patients are classified as having improved.
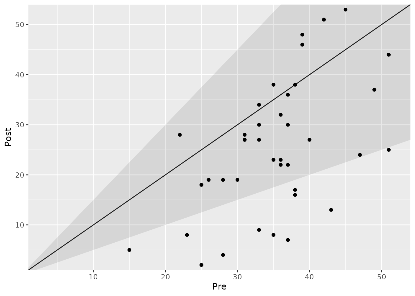
Visualizing the Results
The plot for the percentage-change approach looks similar to those for the anchor- and distribution-based methods. However, the shaded area is now determined by the percentage-change cutoff relative to each individual’s starting score. This means the boundaries of the “unchanged” area are not parallel lines.
plot(pct_results)
#> Ignoring unknown labels:
#> • colour : "Group"
Grouped Analysis
We can also explore if the proportion of “responders” differs between the treatment groups (TAU vs. PA).
# Grouped analysis with a 50% improvement cutoff
pct_grouped <- claus_2020 |>
cs_percentage(
id = id,
time = time,
outcome = bdi,
pre = 1,
post = 4,
pct_improvement = 0.5,
group = treatment
)
summary(pct_grouped)
#>
#> ---- Clinical Significance Results ----
#>
#> Approach: Percentage-based
#> Percentage Improvement: 50.00%
#> Percentage Deterioration: 50.00%
#> Better is: Lower
#> N (original): 43
#> N (used): 40
#> Percent used: 93.02%
#> Outcome: bdi
#>
#> Group | Category | N | Percent | Percent by Group
#> ------------------------------------------------------
#> TAU | Improved | 2 | 5.00% | 10.53%
#> TAU | Unchanged | 17 | 42.50% | 89.47%
#> TAU | Deteriorated | 0 | 0.00% | 0.00%
#> PA | Improved | 9 | 22.50% | 42.86%
#> PA | Unchanged | 12 | 30.00% | 57.14%
#> PA | Deteriorated | 0 | 0.00% | 0.00%The results suggest that a much higher proportion of patients in the Placebo Amplification (PA) group (42.9%) achieved a 50% symptom reduction compared to the Treatment as Usual (TAU) group (10.5%).
The plot clearly visualizes this difference:
plot(pct_grouped)
Using Different Cutoffs for Improvement and Deterioration
A useful feature of cs_percentage() is the ability to
set different cutoffs for improvement and deterioration via the
pct_deterioration argument. For instance, in some contexts,
a small worsening of symptoms (e.g., 20%) might already be considered a
significant deterioration, while a larger change (e.g., 50%) is required
for improvement.
pct_asymmetric <- claus_2020 |>
cs_percentage(
id = id,
time = time,
outcome = bdi,
pre = 1,
post = 4,
pct_improvement = 0.5,
pct_deterioration = 0.2 # A smaller threshold for worsening
)
summary(pct_asymmetric)
#>
#> ---- Clinical Significance Results ----
#>
#> Approach: Percentage-based
#> Percentage Improvement: 50.00%
#> Percentage Deterioration: 20.00%
#> Better is: Lower
#> N (original): 43
#> N (used): 40
#> Percent used: 93.02%
#> Outcome: bdi
#>
#> Category | N | Percent
#> ---------------------------
#> Improved | 11 | 27.50%
#> Unchanged | 26 | 65.00%
#> Deteriorated | 3 | 7.50%